Article

Vegetation Community Monitoring at Homestead National Historical Park

Prairie at Homestead Natl Monument of America
Prairie at Homestead National Historical Park

NPS-Photo

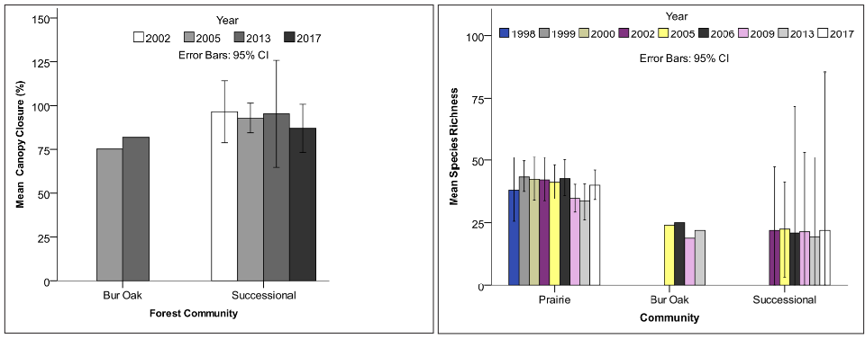
The Heartland Inventory and Monitoring Network has sampled permanent monitoring sites in three vegetation community types (restored prairie, successional forest, and bur oak forest) at Homestead National Historical Park. Sampling began in 1998. Scientists record each species, how many or how much space they take up, and size of trees. Forested sites have a dense canopy and sparse ground flora (below left). A small number of very large trees dominated the forest, but a midstory layer of trees is also present.
Graphs from vegmon at HOME
Graphs of canopy closure and species richness.

NPS

Prairie vegetation has varied in number of species, but we observed the greatest number of species in 2017. (above right) Forbs are an important plant group in the prairie. Non-native species were rare in the forest, but common in the prairie. Continued efforts to treat woody plants and non-native species will keep the prairie healthy.
View the Full Report. (pdf)

Learn more about the Heartland Inventory & Monitoring Network.



Data in this report were collected and analyzed using methods based on established, peer-reviewed protocols and were analyzed and interpreted within the guidelines of the protocols.

Homestead National Historical Park

Last updated: September 12, 2024