Lesson Plan

Poets of the Air

Lesson Plan Image
Grade Level:
Middle School: Sixth Grade through Eighth Grade
Subject:
Literacy and Language Arts,Math,Science
Lesson Duration:
60 Minutes
Common Core Standards:
6.L.6, 7.L.3, 7.L.4.c, 8.L.3
Thinking Skills:
Understanding: Understand the main idea of material heard, viewed, or read. Interpret or summarize the ideas in own words. Analyzing: Break down a concept or idea into parts and show the relationships among the parts. Creating: Bring together parts (elements, compounds) of knowledge to form a whole and build relationships for NEW situations.

Essential Question

How do birds fly?

Objective

Students will learn about basic avian anatomy and perform a simple flight experiment with paper airplanes

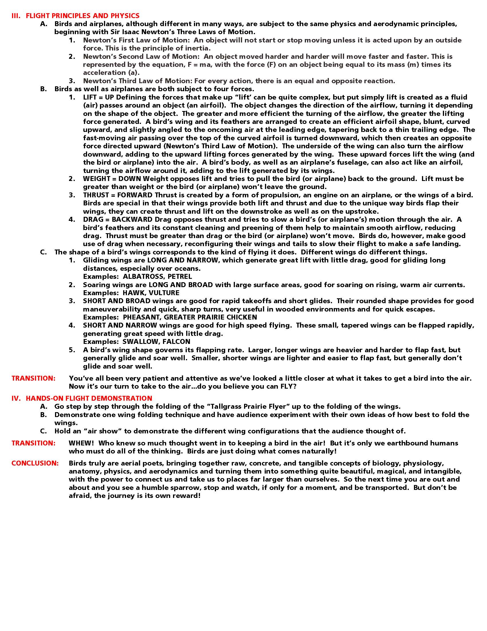
Background

Be sure to find a large enough space (a gymnasium or lunch room space) to conduct the flight experiements safely and effectively.

Activities in this lesson based on information found in The Sibley Guide to Bird Life and Behavior and Birding Basics, by David Allan Sibley.

Preparation

A bird in flight is perhaps nature at its most beautiful and sublime. Such gorgeous aerial poetry belies the complex areodynamics that ALL birds, big and small, do without thinking. However, with a little thinking (and folding) of our own, we can get a glimpse of their spectacular abilities and begin to better appreicate the artistry of these natural wonders. 

Materials

Download Poets of the Air page 1

Download Poets of the Air page 2

Download Poets of the Air page 3

Download Poets of the Air page 4

Download Poets of the Air page 5

Download Poets of the Air page 6

Download Poets of the Air page 7

Download Poets of the Air page 8

Download Poets of the Air page 9

Download Poets of the Air page 10

Download Poets of the Air page 11

Download Poets of the Air page 12

Download Poets of the Air page 13

Download Poets of the Air page 14

Download Poets of the Air page 15

Download Poets of the Air page 16

Download Poets of the Air page 17

Download Poets of the Air page 18

Download Poets of the Air page 19

Download Poets of the Air page 20

Download Poets of the Air Flight Chart

Lesson Hook/Preview

Do you think you can fly?

Procedure

1. Download lesson materials on pages 1 through 20. Pages 1 through 15 can be printed for students or used as slides for whiteboard projection to entire class. 

2. Print page 14 (paper airplane folding instructions) for students.

3. Print pages 15 and 16 (paper airplane) on the same page (front/back).

4. Print pages 17 and 18 (paper airplane flight rules and aerodynamic concepts) on the same page (front/back).

5. Print page 21 (Poets of the Air Flight Chart) for each student.

6. After going through pages 1 to 15 with students, have them fold their paper airplanes according to the instructions. 

7. Find an open space for students to do flight testing with their paper airplanes.

8. Have each student record distance and time in flight data for their paper airplanes under "Original Plane." Do at least two flights and calculate an average distance and flight time.

9. Have each student analyze the performance and flight data from their plane and apply modifications to their plane.

10. Do at least two more flights, recording distance and time in flight data under "Modified Plane. Calculate average distance and flight time.

11. Have students record interesting observations about their plane's perfomace during each test under "Flight Notes."

12. At conclusion of testing, have students share their results and the modifications they made to their plane.

Contact Information

Email us about this lesson plan

Last updated: March 25, 2023