Article

Fire Ecology Annual Report 2017 - Monitoring and Inventory

By Jennifer L. Barnes and Jennifer L. Hrobak

Monitoring and Inventory
Monitoring and inventories are utilized by the fire ecology program to provide feedback to the NPS fire management program on activities such as fuels treatments and to continue to gain a better understanding of the effects of wildfire on the landscape. Table 2 provides a list of the number of plots measured in 2017 and the total number of fire/fuels monitoring or inventory plots established in Alaska parks since 2003.

During 2017 the NPS Alaska fire ecology program measured plots in an area that recently burned twice in Wrangell-St. Elias and re-measured long term tundra fire plots in Noatak. Brief descriptions and preliminary results from the two monitoring projects are provided below.

Table 2. Fire effects and fuels treatment (TX) plot workload (2017) and total monitoring plots Installed 2003-2017.
Park Monitoring Unit Type of Plot (FMH, photo point, other) Pre-burn/TX2017 1yr Post 2017 Post (2-20yrs) 2017 Annual Total Total Plots
Lake Clark Currant Cr Fire 2013 CBI, AKR Fire & Fuels Plots - - - - 43
Lake Clark Kristin Cr Fire 2013 CBI & Cover - - - - 7
Wrangell-St. Elias Carl Cr RX AKR Carl Cr Plots - - - - 29
Wrangell-St. Elias Chakina Fire 2009 CBI & Cover - - - - 56
Wrangell-St. Elias Chakina 2009/Steamboat2016 AKR Fire & Fuels Plots - 26 16 42 42
Wrangell-St. Elias Susan Smith - Hazard Fuels Plots - TX AKR SS Hazard Fuels Plots - - - - 13
Wrangell-St. Elias Headquarters - TX AKR Hazard Fuels Plots - - - - 19
Wrangell-St. Elias Fire Effects - Paired Plots AKR Paired Plots - - - - 2
Wrangell-St. Elias McCarthy University Subdivision - TX AKR Hazard Fuels Plots - - - - 27
Yukon-Charley Rivers 2004 Woodchopper Fire AKR Fire & Fuels Plots - - - - 7
Yukon-Charley Rivers 1999 Witch Fire Fire effects - other - - - - 15
Yukon-Charley Rivers 2004 Fire - Paired Plots AKR Paired Plots - - - - 5
Yukon-Charley Rivers 1999 Fires Landcover - CBI AKR Fire & Fuels Plots - - - - 30
Denali Headquarters - TX AKR Hazard Fuels Plots - - - - 27
Denali VDM Highpower Fire Reburns AKR Fire & Fuels Plosts - - - - 10
Denali Landcover - CBI AKR Fire & Fuels Plots - - - - 55
Denali Beaver Log Fire 2013 CBI & Cover - - - - 13
Denali Toklat R. East Fire 2013 CBI & Cover - - - - 25
Noatak 2010 Fires CBI & Cover - - - - 34
Noatak 2004 Uvgoon Fire AKR Fire & Fuels Plots - - - - 6
Noatak 2012 Uvgoon/Kungiakrok Fires CBI & Cover - - - - 22
Noatak 1977 Fires Racine Plots Racine Plots - - 8 8 8
Bering Land Bridge 1977 Fire Racine Plots Racine Plots - - - - 8
Bering Land Bridge Fairhaven Ditch Cabins - TX AKR Hazard Fuels Plots - - - - 4
Total - - - 26 24 50 507


Wrangell-St. Elias Repeat Fires – Chakina and Steamboat Creek
Spruce forests in Interior Alaska generally have a fire return interval (the time between successive fires) between 60-150 years. The Southcentral boreal forests of Wrangell-St. Elias generally have a longer time between fires, approximately 150-200 years. So when the 2016 Steamboat Fire ignited and burned nearly 18,000 acres within an area of Wrangell-St Elias that had previously burned in 2009, fire managers and park staff were interested to know what was burning and the potential impacts of the shortened fire return interval (just seven years) on the landscape. Plots established to monitor burn severity and effects of the 2009 Chakina Fire provided a foundation to determine what was burning in the 2016 Steamboat Fire. During this past summer (2017), Alaska Region fire ecology program and USGS researchers measured 42 plots in areas that were once- and twice-burned to assess the effects on vegetation and soils.

Monitoring goals for the project were to determine what fuels and vegetation carried the second fire and how once and twice burned sites may vary in recovery. The objectives of the study were to:

  • Document vascular and non-vascular plant cover changes
  • Monitor tree seeding establishment
  • Document changes in tree densities by diameter size class
  • Document changes in active layer deptch and soil temperatures
Table 3. Number of plots sampled by forest type and time since fire in Wrangell-St. Elias. Black spruce pre-burn plot data includes plots from a 1997-1998 spruce beetle study in the area that did not burn.
Time Since Fire (Graph Label) Year Sampled Black Spruce Plot Numbers White Spruce Plot Numbers
Pre-Burn (PreBurn) 1997, 1998, 2009 15 7
Post Burn 1 Year (BurnYr01) 2010 2 5
Post Burn 8 Years (BurnYr08) 2017 9 7
Twice Burned 1 Year (Burn2Yr1) 2017 10 16


Three photos side-by-side showing pre-fire, 1 and 8 year post fires.
Figure 3.  This white spruce forest was burned in 2009 by the Chakina fire in Wrangell St. Elias NP.  The site was originally monitored as part of spruce beetle project in 1998. Photos from monitoring site (SPB-3683-1) are shown from left to right; pre-fire (1998), 1 year post fire (2010) and 8 years post fire (2017).

NPS photo

Three photos side-by-side showing black spruce forest at pre-fire and 1 and 8 years post fire.
Figure 4.  This black spruce forest was burned in 2009 by the Chakina fire in Wrangell St. Elias NP.  The site was established in front of the 2009 fire.  Photos from monitoring site (362-1) are shown from left to right; pre-fire (2009), 1 year post fire (2010), and 8 years post fire (2017).

NPS photo

Two pictures side-by-side of a white spruce forest that was burned in 2009. Image on left is ashen. Image on right shows considerable, green regrowth.
Figure 5.  This white spruce forest was burned in 2009 by the Chakina fire and burned again in 2016 by the Steamboat Creek fire in Wrangell St. Elias NP.  Photos from monitoring site (G-06) are on the left  - 1 year post fire (2010) and on the right - 1 year post two burns (2017).

NPS photo

Two photos side-by-side of a black spruce forest that was burned in 2009. Image on left is ashen. Image on right shows considerable regrowth.
Figure 6.  This black spruce forest was burned in 2009 by the Chakina fire and burned again in 2016 by the Steamboat Creek fire in Wrangell St. Elias NP.  Photos from monitoring site (G-07) are on the left - 1 year post fire (2010) and on the right - 1 year post two burns (2017).

NPS photo

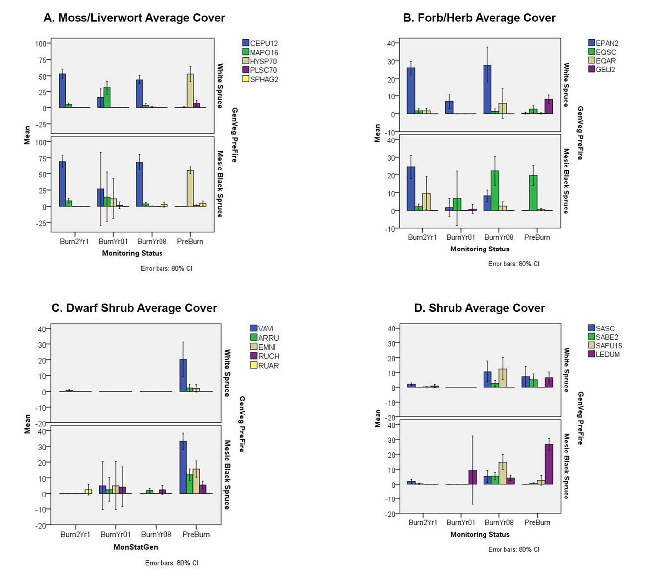
Graph that shows the average percent cover for point intercept vegetation in both white and black spruce.
Figure 7. Point intercept vegetation cover data summarized for average cover by life form from the Chakina-Steamboat Creek fire monitoring plots in Wrangell-St. Elias.

The plots sampled were of two general vegetation types prior to the fires - upland white spruce (Figures 3 and 5) and mesic black spruce (Figures 4 and 6), and as show in Table 2. The general changes in vegetation cover by dominant life form are shown in the graph in Figure 7, while Figure 8 shows the average cover of the common species of the non-vasculars, herbaceous plants, dwarf shrubs, and shrubs at the sites. One year after the initial fire the live tree cover was reduced to nearly zero percent cover. Most of the late successional feathermosses (Hylocomnium splendens HYSP70) were consumed and early successional mosses (Ceratadon purpureus CEPU12) and liverworts (Marchantia polymorpha MAPO16) (Figure 8A) and some fireweed (Epilobium angustifolium EPAN2) (Figure 8B) were establishing one year after the first fire. Eight years after the 2009 fire the upland white spruce plots had a dense cover of fireweed (average cover 27%), willow (Salix spp) (26%), with aspen and young white spruce trees establishing in the understory. The black spruce sites had more horsetails (Equisetum spp.) (22% cover) and Labrador tea (Ledum palustre) (4% cover) established than the white spruce sites. The dwarf shrub (subshrub) cover was reduced at both the black and white spruce sites after the fire.

The down trees and the dead thatch of fireweed from prior year’s growth likely provided the fuel for the 2nd fire to burn. The second burn consumed much of the smaller dead and down woody material (1 – 10 hour fuels), and at some sites even consumed some of the larger diameter down woody debris (100 and 1000 hour fuels). At many of the twice burned sites the ground was carpeted by early successional mosses (Ceratadon purpureous and Marchantia polymorpha). Fireweed seedlings and re-sprouts were prevalent, some willows and aspen were still able to re-sprout at the twice burned sites. Overall there was more vascular and non-vascular plant cover at the twice burned sites one year after the second fire, than was found one year after the first fire (See Figures 5 and 6 photos and Figure 7 graph).

Image showing four representations of moss/liverwort, forb/herb, dwarf shrub and shrub average covers.
Figure 8.  The average cover graphs of dominant species of non-vasculars (moss/liverworts), forbs, dwarf shrubs, and shrubs.  Species codes are four letter acronyms of genus and species (plants database: https://plants.usda.gov/java/).

Tree seedlings are important for the future forest that will occur after a fire. The average density of tree seedlings was quite variable (Table 4) among the plots and across the time since fire. Only 7 sites were sampled for tree seedlings in 2010, however none of the plots had seedlings present one year after the initial fire. Eight years after the fire more trees reproduction was evident. The white spruce sites were dominated by deciduous tree regeneration, primarily aspen (Populus tremuloides) with an average of 44,642 (80% CI 14,009 - 75,274) aspen “seedlings” per hectare. White spruce seedlings were present as well with an average of 2,730 (80% CI 237 - 5,222) seedlings per hectare. The black spruce sites eight years after the fire had a high level of white spruce seedlings present along with black spruce and aspen establishing (Table 4). The identification of spruce seedling species can be problematic, so there could be some errors in the species identifications.

Preliminary analysis indicates that even with a second burn, some black spruce seedlings survived or regenerated after the second fire. The dominant seedling trees were re-sprouting aspen. The average density of aspen “seedlings” at the twice burned white spruce sites was 6,824 aspen/hectare and at the black spruce sites had an average of 2,017 aspen/hectare.

Table 4. Average seedling densities (trees less than 1.37 m tall) per hectare by forest type and time since fire(s).
Forest Type and Time Since Fire Number of Plots White Spruce Seedlings/Hectare (80% Confidence Interval) Black Spruce Seedlings/Hectare (80% Confidence Interval) Deciduous Tree Seedlings/Hectare (80% Confidence Interval)
White Spruce Plots Pre-Burn 7 1,561 (823 - 2,299) 56 (0.05 - 113) 741 (210 - 1,270)
White Spruce Plots Post Burn 1 Year 5 0 0 0
White Spruce Plots Post Burn 8 Years 7 2,730 (237 - 5,222) 0 44,642 (14,009 - 75,274)
White Sprice Plots Twice Burned 1 year 15 0 354 (-122 - 829) 6,824 (2, 320 - 11,327)
Black Spruce Plots Pre-Burn 15 42 (-3 - 88) 22,485 (16,599 - 28,371) 0
Black Spruce Plots Post Burn 1 Year 2 0 0 0
Black Spruce Plots Post Burn 8 Years 9 22,308 (13,473 - 31,144) 10,144 (3,420 - 16,867) 15,080 (9,975 - 20,185)
Black Spruce Plots Twice Burned 1 Year 10 0 106 (-40 - 253) 2,017 (789 - 3,244)


Noatak Tundra Fire Long Term Monitoring
Dr. Charles Racine and colleagues established a series of tundra post-fire vegetation and permafrost monitoring sites within two Alaska parks - Bering Land Bridge and Noatak during the late 1970s and early 1980s. These sites have been monitored several times over the past 40 years and provide the longest set of monitoring data for tundra fire effects study in Alaska.

In 1978 Racine and others established 8 permanently marked plots in a 1977 fire along a topographic gradient on Nimrod Hill, on the east side of Imuruk Lake in Bering Land Bridge NPr (BELA). Pre-fire data was available from a 1973 soils and vegetation survey. The Nimrod Hill BELA plots were re-measured in 1979, 1981, 1983, 2001, and 2002. As part of the Arctic Network Inventory & Monitoring Program, Racine and NPS fire personnel re-measured the plots in 2009.
Following the study in BELA, the same researchers established tundra fire plots in Noatak NPr (NOAT) during 1981 and 1982. Eight sites were established in areas of varying time since fire, ranging from 4 weeks post fire, 4-5 years and 10 years post fire (1972, 1977 and 1982 fires). These sites were not re-measured again until 2005. As part of the Arctic Network Inventory & Monitoring Program (ARCN), Racine and NPS fire personnel relocated and re-measured the Noatak fire plots in 2005. These plots were monitored again in 2017 by ARCN and NPS fire staff. Some of the sites have burned again since the early fires.

For both study areas, 10 1-m x 1-m quadrats were sampled per plot. Data collected within the quadrats include: ocular estimates of vascular and non-vascular species cover, maximum height and stem density estimates of selected shrubs, tree density, active layer depth measurements, site descriptions (soil samples in 1981-82), and photographs.

The purpose of these ground-based permanently marked fire effects plots were to detect major changes in structure and composition of vegetation within the representative areas. This includes changes in the cover of vascular plants by species or lifeform, changes in cover of non-vascular plants by selected species or groupings, changes in density of trees and heights of shrubs, and changes in active layer depth over time.

For preliminary analyses the data from the Noatak Racine plots was summarized by average cover by lifeform in three major categories: unburned, burned once and twice burned. The data was then divided into groups of time since the last fire or measurement for the unburned plots (Table 5). The unburned sites had the lowest forb cover, but conversely had the greatest shrub cover. For the once burned sites, the early years after the fire there were more true grasses and rushes (graminoids), which significantly declined by 20 years post fire. Shrubs and dwarf shrubs increased by 20 years post fire in both the once and twice burned sites and appear to be similar to the average cover of shrubs in the unburned plots. It appears that the twice burned plots have greater cover of tussock forming sedges (Eriophorum vaginatum and Carex bigelowii) than the once burned and unburned sites (Table 5 and Figure 9).

These sites have been incorporated into the Arctic Network long term monitoring protocols for future monitoring.

Table 5. Average percent cover of vascular plants by life form types for sites that were unburned, burned 1 time and 2 times over the past 40 years at the Noatak Racine plots. The number of plots are shown as “n” in the table. The 80% confidence intervals are shown in parentheses.
UnBurned n Forb/herb Graminoid Sedge Dwarf Shrub Shrub
1982 2 0.2 (-0.3-0.6) 0 32.7 (-14.7-80.1) 3.4 (-6.9-13.6) 36.4 (7.6-65.3)
2005, 2017 3 1.0 (0.02-2.0) 0.1 (-0.1-0.3) 31.2 (22.5-39.9) 7.4 (s.1-11.7) 42.1 (35.3-49.0)
Burned Once - - - - - -
PostBurn 0-10 years 8 4.2 (2.2-6.3) 7.9 (4.0-11.8) 25.7 (15.4-36.0) 2.1 (0.5-3.7) 10.2 (6.7-13.6)
PostBurn 20-30 years 5 7.9 (3.5-12.3) 0.8 (0.2-1.4) 31.4 (13.9-48.9) 6.6 (1.6-11.7) 39.3 (8.0-70-6)
PostBurn 40 years 4 8.6 (3.2-13.9) 0.2 (0.03-0.4) 26.7 (9.6-43.8) 6.6 (1.7-11.4) 39.3 (8.0-70.6)
Burned Twice - - - - - -
Twice Burn 0-5 years 2 1.7 (1.5-1.8) 1.5 (-0.2-3.3) 67.2 (-7.9-142.0) 0.03 (-0.05-0.1) 5.2 (-5.6-16.1)
Twice Burn 20-30 years 2 2.3 (1.0-3.6) 0.8 (0.3-1.2) 52.5 (6.6-98.4) 5.3 (4.9-5.7) 40.6 (14.4-66.7)


Data Management

Data for all 2017 monitoring projects have been entered into FFI (FEAT/FIREMON Integrated) - a plot-level monitoring sequel server software tool designed to assist managers with collection, storage and analysis of ecological information (http://www.frames.gov/partner-sites/ffi/ffi-home/). Digital archives and metadata for the AK databases were uploaded to the NPS Data Store IRMA in January 2017. The Alaska Eastern Area fire ecology data set is located here and includes data for YUCH and WRST: https://irma.nps.gov/DataStore/Reference/Profile/2249969 and the Alaska Western Area fire ecology data set includes data for DENA, NOAT, BELA, and LACL: https://irma.nps.gov/DataStore/Reference/Profile/2249968. The updated FFI databases reflect the recent data additions and QC to the AK NPS fire ecology databases (Table 6).

Table 6. Monitoring Data Entry and Number of Treatment Units Monitored for 2017
Park/Project % 2017 Data Entered % 2017 Data Quality Checked # Prescribed Fires Monitored # Non-fire Fuels Treatments Monitored #Wildfires Monitored # BAER Treatments Monitored
Wrangell-St. Elias Chakina/Steamboat - Repeat Fire Plots 100 100 0 0 1 0
Noatak (Racine) Long-term Tundra Fire Effects 100 100 0 0 1 0
Four pictures depicting the Kungiakrok burn site.
Figure 9. Kungiakrok burn site from the Noatak Racine plots initially monitored a few weeks after a small fire in 1982 (u-l photo).  The site was remeasured in 2005 (u-r photo) and the tussocks and shrubs were recovered 23 years after the fire.  In 2012 the site was burned again and remeasured 1 year after the fire (l-l photo) in 2013 and again in 2017, 5 years after the 2nd fire (l-r photo). Five years after the 2nd fire the tussocks are dominant, but dwarf and low shrubs are re-establishing.

NPS photo

Part of a series of articles titled NPS Alaska Region Fire Ecology Annual Report for 2017.

Noatak National Preserve, Wrangell - St Elias National Park & Preserve

Last updated: October 26, 2021