Article

Forest Regeneration 2019

A brown bird with a white breast and dark spots on its chest stand on the leaf-littered ground
The wood thrush (Hylocichla mustelina) is vulnerable to loss and degradation of forest habitat. Deer consumption of seedlings and saplings reduces wood thrush nesting places and deer browse on shrubs and forest understory takes away some of their typical food sources.

NPS/Gabriel Mapel

Importance

Forests make up about three quarters of the landcover in National Capital Area (NCA) national parks, and their continued regeneration (the survival of seedlings and saplings to replace large forest trees as they die) is a growing concern.
If the forests of NCA parks were to gradually decline and diminish instead of regenerating, the parks would not only lose part of the distinct character, leafy shade, and cool microclimates that visitors enjoy, but the survival of animals and plants of all kinds that depend on the forests would be threatened. From the tiniest, most specialized insects and pollinators, to forest floor salamanders, to flying squirrels and wildflowers, an incredible number of species depend on the forests they live in.
Large white-tailed deer populations (>8/km2 per Horsley et al. 2003), like those found in the NCA, can not only significantly reduce forest regeneration, but can also reduce tree species diversity, density, and the average height of seedlings.

Assessing Regeneration

To assess forest regeneration, we analyzed long-term forest data from the National Capital Region Network, Inventory & Monitoring program (NCRN I&M). We used the number of seedlings and small saplings present, their size, and their distribution to calculate regeneration potential on a plot-by-plot basis with a formula called the “Stocking Index.” (See Citations)

Results - Low Regeneration Levels

Forest regeneration levels are low throughout National Capital Region parks (Figure 1). The stocking index threshold for healthy forest regeneration requires that 67% of forest plots should be adequately stocked with seedlings and small saplings. As with previous years, no park exceeded 30%.

A graph showing the percent of plots in National Capital Area parks that are adequately stocked with seedlings and small saplings
Figure 1. Stocking Index 2016-2019. For a park as a whole to have healthy regenerative capacity, 67% of plots must be adequately stocked (dashed line). The number of NCRN forest monitoring plots is listed in parenthesis after each park name. T-shaped error bars indicate 95% confidence intervals.

NPS

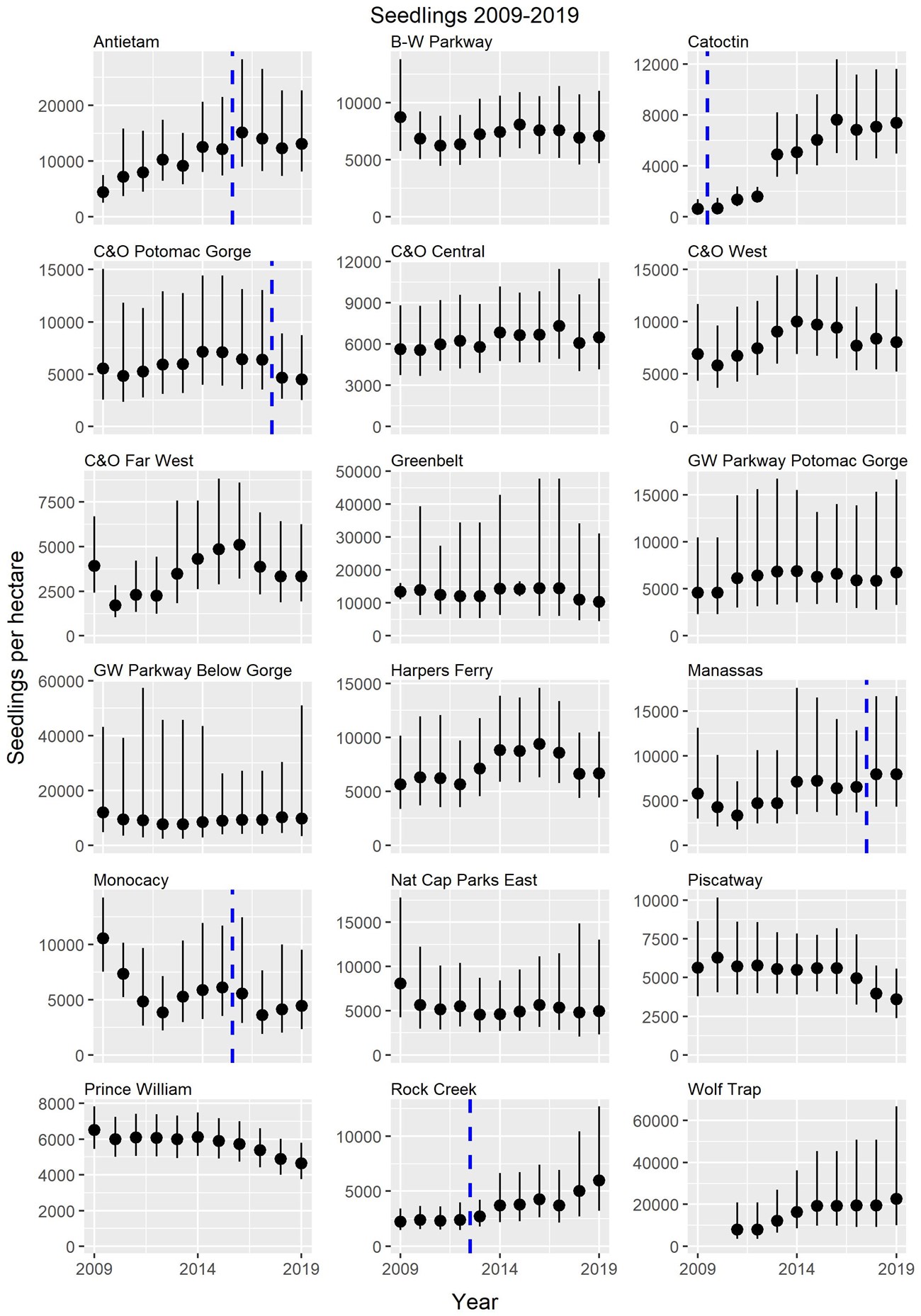
NCRN forest data show tree seedlings present in all parks, with some improvements over time (Figure 2). However, because the stocking index includes both seedlings and small saplings, and assigns higher values to larger individuals, the increase in seedlings takes time to nudge up a stocking index score.

A series of graphs showing seedling numbers at National Capital Area parks from 2009 to 2019
Figure 2. Change in seedling numbers from 2009 to 2019. Each dot represents an average of the last 4 years of seedling data. Solid vertical lines are 95% confidence intervals. Dashed blue vertical lines indicate the year a park began deer management. Note that Y axis varies across graphs.

NPS

Where there are large deer populations, the seedlings that are present are often those less palatable to deer including species like American beech (Fagus grandifolia), pawpaw (Asimina triloba) - a non-canopy species, or the invasive tree of heaven (Ailanthus altissima).
The overall lack of forest regeneration throughout the National Capital Region remains a cause for concern and stocking index scores have changed very little since 2006-2009. As these low levels of regeneration persist, and as non-canopy species replace canopy species, forests may enter a period of long-term decline.

Park Forest Management

Catoctin Mountain Park, Rock Creek Park, Antietam National Battlefield, Monocacy National Battlefield, Manassas National Battlefield Park, and Chesapeake and Ohio Canal National Historical Park are all currently reducing their deer populations to help boost forest regeneration. Other NCA parks continue to work through the environmental compliance and funding processes to address forest regeneration and health through deer management.
While stocking index scores remain low at Catoctin Mountain Park, the abundance of small seedlings has surged since park deer reductions began in 2009. Seedlings grew from about 630 per hectare (2006-2009) to about 7,380 per hectare (2016-2019). Similarly, at Rock Creek Park which began deer management in 2013, seedling numbers rose from 2,240 per hectare (2006-2009) to 5,960 per hectare (2016-2019). These increases are not yet visible in the stocking index.
It takes 4 years to sample all park plots used in the stocking index. Since deer management began 2 years ago at Manassas and C&O Canal (2018), full results are not yet available for these parks. An increase in the stocking index for any of the parks pursuing deer management will be an important indicator of the effectiveness of this management.

Citations

For more detail on how the Stocking Index is calculated, refer to: Schmit, JP. and M. Nortrup. 2013. NCRN Resource Brief: Forest Regeneration 2013.

Learn More about the National Park Service's Inventory & Monitoring Efforts

To help protect natural resources ranging from bird populations to forest health to water quality, National Park Service scientists perform ecological Inventory & Monitoring (I&M) work in parks across the country. The National Capital Region Network, Inventory & Monitoring program (NCRN I&M) serves national parks in the greater Washington, DC area. To learn more about NCRN I&M forest monitoring, you can visit the NCRN forest monitoring webpage.
Previous updates on this topic from 2011 to 2018 are also available.

Antietam National Battlefield, Baltimore-Washington Parkway, Catoctin Mountain Park, Chesapeake & Ohio Canal National Historical Park, George Washington Memorial Parkway, Greenbelt Park, Harpers Ferry National Historical Park, Manassas National Battlefield Park, Monocacy National Battlefield, National Capital Parks-East, Prince William Forest Park, Rock Creek Park, Wolf Trap National Park for the Performing Arts more »

Last updated: May 22, 2020