Changes in the Abundance and Distribution of Trumpeter Swans in Denali

By Carol McIntyre

The increase in trumpeter swans is often hailed as a success story, yet many questions remain about their future. How will global climate change affect nesting habitat and food supplies of trumpeter swans in Alaska?

two large white birds floating on a lake
Migrating trumpeter swans are common sights in Alaska’s coastal wetlands around spring thaw and before fall freeze up.

NPS Photo / Robert A. Winfree

The Alaska National Interest Lands Conservation Act (ANILCA) of 1980 was landmark legislation. Along with creating many new federal conservation units in Alaska, it also added substantial acreage to existing national parks including Mt. McKinley National Park. With the passage of ANILCA, Mt. McKinley National Park became Denali National Park and Preserve and expanded in size from approximately two to six million acres. Included in the ANILCA additions were the rich boreal forest wetlands of the upper Kuskokwim River and the Minchumina Basin region. This mosaic of wetlands is one of the most productive ecosystems in Denali and the summer home to thousands of ducks, grebes, loons, swans, shorebirds, gulls, terns, and songbirds. The elegant trumpeter swan (Cygnus buccinator) is the largest, and perhaps most conspicuous, bird species in the area in summer. Hundreds of pairs of trumpeter swans, along with many non-breeding subadults, live in this region each summer.

Trumpeter swans were not always so numerous in this region, or across their North American Range. Early fur trade and European settlement of North America greatly reduced the numbers and distribution of trumpeter swans (Mitchell 1994). In 1935, only 69 trumpeter swans were known to exist in the wild (Mitchell 1994), but breeding populations in Alaska were not described until 1954 (Monson 1956). Although the abundance of trumpeter swans has increased substantially since the early 1960s, the population has not returned to its original size or distribution across North America (Mitchell 1994).

Natural History

Two species of swans occur in Alaska, the trumpeter swan and the tundra swan (Cygnus columbianus). Trumpeter swans mostly summer in the south coastal and interior boreal forest and taiga habitats, while tundra swans summer mainly on the western and northern coastal tundra (Conant et al. 2000). While both species occur in Denali, tundra swans generally migrate through the area in spring and autumn migration, and only the trumpeter swan nests in Denali.

The tundra swan has a goose-like, higher pitched call than the distinctive trumpet-like “oh-OH” call of the trumpeter swan. On closer inspection, there is a notable difference in the head and bill profile of each species. The tundra swan’s bill is slightly dish-shaped or concave and is smaller in proportion to its smoothly rounded head. In contrast, the bill of the trumpeter appears heavy and somewhat wedge-shaped in proportion to its large angular head.

Trumpeter swans are one the largest species of waterfowl in the world, measur-ing at nearly 5 feet in length (1.5 m) with a wingspan of almost 7 feet (2 m). Males average about 28 pounds (12.7 kg) and females average about 22 pounds (10 kg).

Trumpeter swans in Alaska belong to the Pacific Coast Population. Traveling in flocks, trumpeter swans leave their wintering areas from mid- to late February and start their northward migrations. Trumpeter swans gather on ice-free lakes in central British Columbia and southern Yukon on their way north. One of the most important staging areas along the spring migration route is Marsh Lake, Yukon, where thousands of trumpeter swans, as well as tundra swan and many other waterfowl, stop to feed at Tagish Narrows and M’Clintock Bay.

Flocks of swans migrating across the deep blue spring skies of Denali are always a welcome sight. Trumpeter swans arrive on their Alaska breeding grounds from mid-April through early May, often when most lakes are still frozen. The nesting season for trumpeter swans, from nest building to the start of autumn migration, is one of the longest for birds in North America, and swans begin courtship and nest building activities immediately upon their return to Alaska.

large white bird and small brownish bird floating on a lake
The feathers on the head, neck, and lower body of trumpeter swans are often stained from feeding in iron-rich marshes.

NPS Photo / Robert A. Winfree

Flocks of swans migrating across the deep blue spring skies of Denali are always a welcome sight. Trumpeter swans arrive on their Alaska breeding grounds from mid-April through early May, often when most lakes are still frozen. The nesting season for trumpeter swans, from nest building to the start of autumn migration, is one of the longest for birds in North America, and swans begin courtship and nest building activities immediately upon their return to Alaska.

Trumpeter swans generally build their nests in emergent vegetation away from shorelines (Hansen et al. 1971), and they often renovate and reuse nests for many years. Although they are usually tolerant of other waterfowl nesting nearby, they can be quite aggressive towards mammals and float planes (Hansen et al. 1971). The female lays from one to nine large eggs (length 4.33-4.92 in, 110-125 mm; width 2.75-3.19 in, 70-81 mm; and mass 9.91- 14.46 oz, 281-410 grams) (Mitchell 1994). The tiny cygnets hatch 32 to 37 days after egg-laying and mass at hatch range from 6.10-9.70 oz (173-275 g) (Mitchell 1994). Cygnets grow rapidly over the summer, reaching masses ranging from 9.30-16.00 lb (4,222-7,264 g) when they are 90 days old (Mitchell 1994).
The cygnets remain close to their parents during the summer and their parents lead them to feeding areas and protect them from predators (Mitchell 1994; Figure 1). Nesting swans tend to be more successful at raising cygnets in areas with abundant invertebrate populations and/or macrophytes (aquatic plants) (Mitchell 1994). Cygnets feed heavily on invertebrates in their first two weeks of life, but switch to vegetation primarily during the remainder of the summer. In contrast to their summer diet of submerged, floating, and emergent vegetation, trumpeter swans feed on pasture grasses, grains, and tuberous crops on their winter ranges (Mitchell 1994).

Trumpeter swans are long-lived (32.5 years in captivity; 24 years in the wild) and often return to the same nesting areas for many years (Mitchell 1994). Trumpeter swans do not usually obtain a mate until they are two to four years old. Once they obtain a mate, they may stay paired for many years.

Abundance of Trumpeter Swans in Alaska and Denali

The Migratory Bird Management Division of the U.S. Fish and Wildlife Service (FWS) is responsible for monitoring populations of trumpeter swans and other waterfowl species in Alaska. FWS biologists conducted the first statewide trumpeter swan census in Alaska in 1968 as part of an assessment of this species, which was listed as threatened under the Endangered Species Act of 1966 (Conant et al. 1993). To determine the abundance of trumpeter swans in the remote and vast areas of Alaska, the FWS developed aerial survey methodologies that could be duplicated by competent observers to collect comparative data over time (Hansen et al. 1971). This foresight paid off, as the same survey methodologies have been used by the FWS for conducting the statewide trumpeter swan census in Alaska ever since.

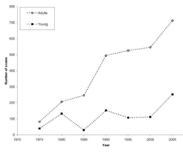
a line chart showing how denali swan populations increased much faster than alaska-wide
Fig 2. The abundance of trumpeter swans in northwest Denali substantially increased between 1968 and 2005.

Data: U.S. Fish & Wildlife Service

The 1968 FWS trumpeter swan census was a great success; the FWS biologists counted 2,848 trumpeter swans in the survey area, including 43 adults in the Denali region. The discovery of such a large number of trumpeter swans led to removing the trumpeter swan from the threatened species list (Conant et al. 1993). Further, the 1968 census provided a solid baseline for measuring extension of range, population growth, and population dynamics of trumpeter swans in Alaska (Hansen et al. 1971).

FWS personnel have conducted a statewide trumpeter swan census every five years since 1975 across all trumpeter swan nesting habitat in Alaska. The number of trumpeter swans detected on the five-year census is striking, with an increase from 4,170 swans in 1975 to 23,692 swans in 2005 (FWS, unpublished data) and far exceeded the expectations of the FWS biologists that developed and implemented this program (Hansen et al. 1971). While the numbers of swans has stabilized in some regions of Alaska, numbers continue to increase in interior Alaska as swans use previously unoccupied habitat (Conant et al. 2000).

The numbers of trumpeter swans in Denali has increased along with the statewide population (Figure 2). Over the last 30 years, trumpeter swans have dispersed across the vast wetlands in the northwest and are starting to use higher elevation ponds and lakes (Figure 3).

The standardized FWS census data are an invaluable resource for biologists and land managers to document changes in the distribution and abundance of trumpeter swans across their range in many national parks and refuges. Ongoing research at the University of Alaska Fairbanks by Josh Schmidt and Mark Lindberg is yielding exciting results about the factors influencing the trends in population abundance of trumpeter swans in Alaska. This research, funded partially by the Alaska Department of Fish and Game, includes a detailed analysis of the long-term FWS trumpeter swan census data including:

  • estimating the spatial and temporal rates of population change and swan production rates
  • describing the variation in size, elevation and latitude of water bodies used by breeding swans
  • projecting maximum sustainable breeding populations for Alaska
  • providing recommendations for future swan surveys (Schmidt and Lindberg 2005)
two maps, one with noticeably more data points marked on it
Fig 3. Distribution of trumpeters in the boreal wetlands in northwest Denali in 1968 (left) and 2005 (right).

The Future of Trumpeter Swans in Alaska and Denali

While all three populations of North American trumpeter swan populations are increasing (Caithamer 2001), biologists are still concerned about the future of this species. Trumpeter swans remain on the National Audubon Society and Audubon Alaska watchlists because they are vulnerable to disturbance and habitat alteration, and they are susceptible to lead poisoning.

Trumpeter swans from Alaska winter mainly in southeastern coastal Alaska, coastal and interior British Columbia, and western Washington (Mitchell 1994), and biologists are concerned about conditions of their winter grounds (King 1984). For instance, trumpeter swans wintering in northwestern Washington and southwestern British Columbia began dying off in large numbers from lead poisoning in December 1999, and the die-off continued through the winter of 2005-2006. The Trumpeter Swan Society called this the largest swan die-off from lead poisoning anywhere in North America. Although lead shot was banned for waterfowl hunting in Washington in 1986 and in Canada in 1999, decades of accumulated lead shot remains in trumpeter swan wintering habitat in the region (www.trumpeterswansociety.org). The swans inadvertently ingest spent shotgun pellets while feeding in areas where the pellets have accumulated and one or two ingested lead pellets can kill a swan. The Washington Department of Fish and Wildlife, the U.S. Fish and Wildlife Service, and the Canadian Wildlife Service are currently conducting research to identify areas of lead-shot contamination and develop a clean-up plan.

composite of four maps showing increasing numbers of data points
Fig 4. Spatial & temporal changes of trumpeter distribution in the upper Tokositna River, 1975 to 2005.

On a local level, long-time NPS personnel are concerned that increased low-level aircraft traffic associated with flight seeing is displacing some nesting swans on the southside of the Alaska Range, particularly in the upper reaches of the Tokositna River (Roger Robinson, NPS, personal communication). The FWS census data suggest that more trumpeter swans occurred in the upper reaches of the Tokositna River from 1975 to 1985 than from 1995 to 2005 (Figure 4). Although other factors may be influencing the distribution of swans in this area, these observations suggest that more research is necessary to determine the response of trumpeter swans to low-flying aircraft in this and other areas in Denali and to develop mitigation measures.

The increase in the population size of trumpeter swans is often hailed as a success story, yet many questions remain about the future of trumpeter swans. Will populations of trumpeter swans continue to increase and will their distribution continue to expand across interior Alaska? How will global climate change affect nesting habitat and food supplies of trumpeter swans in Alaska? And, how will changes on the winter range and along migration routes affect trumpeter swans in Alaska?The many changes on the wintering grounds and the potential changes that could occur along migration corridors and on summer grounds due to many factors including habitat alteration and global climate change certainly are all reasons that we need to remain vigilant about the management and conservation of this species.

References

Caithamer, D.F. 2001.
Trumpeter Swan Population Status 2000. Unpublished report, U.S. Fish and Wildlife Service. Division of Migratory Bird Management, U.S. Fish and Wildlife Service. Laurel, Maryland.

Conant, B., J.I. Hodges, D.J. Groves, S.L. Cain, and J.G. King. 1993.
An atlas of the distribution of Trumpeter Swans in Alaska and instructions for the use of an archival system. Unpublished report, Migratory Bird Management, U.S. Fish and Wildlife Service. Juneau, Alaska.

Conant, B., J.I. Hodges, D.J. Groves, and J.G. King. 2000.
Census of Trumpeter Swans on Alaskan nesting habitats, 1968-2000. Waterbirds 25 (Special Publication 1): 3-7.

Hansen, H.A., P.E.K. Shepherd, J.G. King, and W.A. Troyer. 1971.
The Trumpeter Swan in Alaska. Wildlife Monograph 26.

King, J.G. 1984.
Managing to have wild Trumpeter Swans on a continent exploding with people. In Proceedings and Papers of the Ninth Trumpeter Swan Society Conference, edited by D. Compton. The Trumpeter Swan Society. Maple Plain, Minnesota. Pages 119-123.

Mitchell, C.D. 1994.
Trumpeter Swan (Cygnus buccinator). In The Birds of North America, No. 105, edited by A. Poole and F. Gill. Philadelphia: The Academy of Natural Sciences; Washington, DC. The American Ornithologists’ Union.

Monson, M.A. 1956.
Nesting of trumpeter swans in the lower Copper River Basin, Alaska. Condor 58:444-445.

Schmidt, J., and M. Lindberg. 2005.
Factors affecting the past, current, and future production and distribution of trumpeter swans in Alaska. Annual interim performance report. State Wildlife Grant, Alaska Department of Fish and Game. Juneau, Alaska.

Last updated: October 23, 2021