Article

Stream Community Response to the 2011 Las Conchas Fire in Bandelier National Monument - Aquatic Macroinvertebrate Monitoring 2007–2019

Small stream running through a forest that recently burned.
RIT02 monitoring site along the banks of the Rito de los Frijoles at Bandelier National Monument.

SCPN/NPS

Background

The Southern Colorado Plateau Network conducts long-term aquatic macroinvertebrate monitoring that looks at small organisms found in freshwater ecosystems, including insect larvae, worms, and snails. These organisms play a key role in the cycling of nutrients in aquatic systems and are a great indicator of river and stream health.

Summary

This report presents a comprehensive, long-term assessment by the Southern Colorado Plateau Network on how aquatic macroinvertebrate communities in Bandelier National Monument responded to the 2011 Las Conchas Fire and subsequent hydrologic disturbances. The study spans 12 years (2007–2019) and includes four monitoring sites across two perennial streams, Capulin Creek and the Rito de los Frijoles (Figure 1). These streams, located in fire-prone headwater systems of the Jemez Mountains, were significantly impacted by the fire, which burned over 60% of the monument and triggered extreme post-fire flooding.

A map showing the boundary of Bandelier National Monument, as well as the areas where wildfires have occurred.

Kristin Straka/NPS

Figure 1: SCPN long-term aquatic monitoring sites and fire history affecting streams in Frijoles and Capulin Canyons in Bandelier National Monument from 1977–2019.

Key Findings

  • Severe and Lasting Impacts: The Las Conchas Fire and subsequent floods caused near-total loss of macroinvertebrate abundance and diversity at most sites, with little evidence of full recovery after nine years.

  • Shift to Disturbance-Tolerant Taxa: Sensitive Ephemeroptera, Plecoptera, and Tricoptera (EPT) taxa declined or disappeared, while tolerant taxa like Chironomidae, Baetidae, and Simuliidae became dominant.

  • Disruption of Ecosystem Function: Functionally important organisms known as shredders and scrapers declined by over 90%, indicating impaired ecosystem function.

  • Localized Recovery: Only the RIT02 site showed consistent signs of biological and functional recovery, with increasing trends in some sensitive taxa and functional groups.

Aquatic macroinvertebrates are critical indicators of stream health due to their sensitivity to environmental change and their role in nutrient cycling and energy transfer. Prior to the fire, all monitoring sites met the State of New Mexico’s water quality standards for cold-water aquatic life, as measured by the Mountain Stream Condition Index (M-SCI). However, the Las Conchas Fire and subsequent floods caused dramatic declines in macroinvertebrate abundance, diversity, and functional group representation.

Ecological Impacts: Post-fire peak flows far exceeded historical records and caused widespread habitat loss, sediment deposition, and extirpation of sensitive organism populations (taxa). The most affected groups were the EPT taxa (Ephemeroptera, Plecoptera, Trichoptera), which are typically used as indicators of high-quality aquatic environments. Of the thirteen families extirpated from post-fire stream conditions, 77% of them were EPT taxa.

Community composition shifted dramatically. Disturbance-tolerant taxa such as Chironomidae (midges), Baetid (mayflies), and Simuliidae (blackflies) became dominant across all sites. These taxa possess life history traits, such as multivoltinism (produces two or more generations per year), high mobility, and generalist feeding strategies, which confer resilience and resistance to disturbance. In contrast, univoltine (one generation per year) and semivoltine (one generation per multiple years) taxa with limited mobility and specialized habitat needs showed little to no recovery.

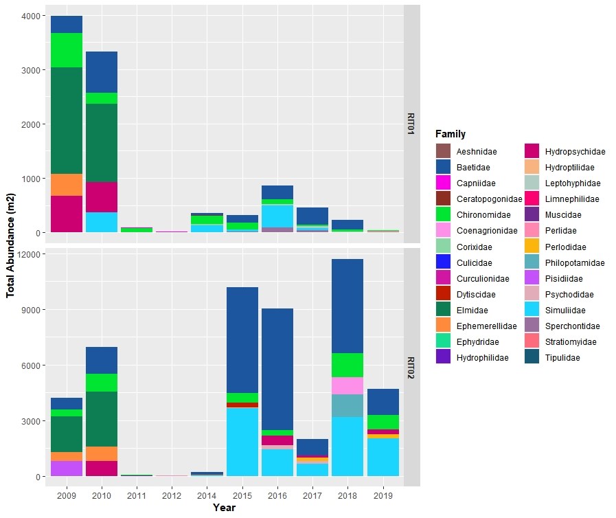
Functional and Structural Changes: The fire also altered ecosystem function. Functional feeding groups such as shredders and scrapers, which are essential for processing organic material and maintaining energy flow in headwater streams, declined by over 90% at most sites. This suggests a significant reduction in the streams’ ability to process both allochthonous (external) and autochthonous (internal) energy. Only one site, RIT02, showed consistent signs of functional recovery, with increasing trends in shredder, scraper, and predator abundance (Figure 2).

Two bar graphs representing the total abundance of macroinvertebrates seperated by family over time.

Stacy Stumpf/NPS

Figure 2. Annual abundance of five dominant families at two sites (RIT01, RIT02) in the Rito de los Frijoles 2009–2019. The Las Conchas fire occurred in 2011, and no data was collected during lapse in appropriations in 2013.

Long translucent insect.
Close-up of a Chironomidae larvae, one of the many aquatic macroinvertebrates represented in this study.

Janek Lass/CC BY

Despite some localized signs of recovery, particularly at RIT02, overall recovery across the study sites has been slow and inconsistent. Diversity and richness remain below pre-fire levels, and many sensitive taxa have not returned. The M-SCI scores reflect this trend, with most sites remaining in an impaired state throughout the post-fire period, except for brief improvements at RIT02 and CAP01 in 2017–2018.

Monitoring in Action: This study underscores the importance of long-term ecological monitoring in fire-prone landscapes. It highlights the need for targeted restoration efforts that support the recovery of aquatic community structure and function, and it provides a scientific foundation for adaptive management strategies in Bandelier and similar ecosystems across the Southwest.

Management Implications

  • Focus Restoration on Functional Groups: Recovery of shredders and scrapers is critical for restoring ecosystem function; habitat improvements ( such as reducing sedimentation and restoring riparian canopy) may support their return.

  • Monitor Flow Intermittency: Sites like RIT01, which did not burn but show persistent impairment, may be affected by altered hydrology and should be closely monitored.

  • Support Reintroduction with Habitat Assessments: While upper reaches may support native fish reintroduction, lower reaches remain impaired and may not sustain populations without focused restoration efforts.

  • Tools like the M-SCI can Guide Restoration: The State of New Mexico’s Mountain Stream Condition Index provides a valuable tool for assessing stream health.

A line of fire burning through a green forest with smoke filled skies.
Aerial photo of the first day of the Las Conchas Fire taken on June 26, 2011.

NPS

Full Report Citation: Stumpf SE. 2023. Stream community response to the 2011 Las Conchas Fire in Bandelier National Monument: Aquatic macroinvertebrate monitoring 2007–2019 (revised, December 2022). Natural Resource Report. NPS/SCPN/NRR 2023/2491. National Park Service. Fort Collins, Colorado. https://doi.org/10.36967/2296710

Full report or printable version of brief.

Contact Stacy Stumpf for more information.

Designed and summarized by Christopher Calvo.

Bandelier National Monument

Last updated: September 30, 2025