Last updated: October 16, 2024
Article
What Drives Diversity in Rock Pools at Isle Royale National Park? Scientists Find Surprising Answers
Lake Superior from Isle Royale National Park (NPS).
Background
Looking out at the vast blue expanse of Lake Superior, it’s easy to imagine you’re standing at the edge of the sea, rather than a freshwater inland lake. The rocky shoreline is even dotted with small depressions that look like tidepools, filled with water from rainfall and wave wash. But instead of starfish and anemone, these pools are typically home to amphibians and insects. Each represents a small patch of aquatic habitat with its own combination of physical characteristics, water chemistry, and resident species. And while each pool is small and shallow, the sheer number of them scattered across the landscape creates a mosaic of biologically rich ecosystems.
Figure 1. Alex Egan prepares to sample a rock pool (NPS).
When Great Lakes Network aquatic ecologist Alex Egan (Figure 1) and a team of partners set out to learn more about freshwater rock pools and how their biological communities work, they expected interesting connections with the surrounding landscape. But what they found challenged them to rethink a lot of what they thought they knew about these unique habitats—and will help park managers to protect the resilience of these systems into the future.
Sampling on the Shores of Lake Superior
Figure 2. Isle Royale's northeastern shoreline is dotted with more than 70,000 rock pools (NPS).
At Isle Royale National Park, more than 70,000 coastal rock pools are scattered along 30 miles of the park’s northeastern shoreline (Figure 2). From April to October 2010, Alex and his colleagues visited a set of these pools about once a month. Their goal was to identify how they’re similar and different, and to learn more about a group of organisms living in them: the Dipteran family Chironomidae (Figure 3).
What Are Chironomidae?

Figure 3. Chironomid lifecycle (© 2015 Journal of Visualized Experiments; used with permission).
The Chironomidae are a family of true flies (Diptera) often called midges or lake flies. Their life cycle consists of four stages (egg, larvae, pupae, and adult), with the first three being generally aquatic and the final stage emerging as a flying insect. Chironomidae are by far the largest family of aquatic insects, and the larvae, pupae, and adult stages are important food for fish, birds, and other species (Kranzfelder et al. 2015).
The set of pools they studied (Figure 4) were at four sites on the shorelines of Isle Royale and two small nearby islands. At each site, the researchers studied two pools in what they called the “splash” zone, closer to Lake Superior. These pools received water when waves from the lake washed onshore. They also studied two pools in the “lichen” zone (Figure 5A), further upslope from the lake, that only received water from rainfall and small amounts of runoff from the surrounding landcape (Figure 5B). In total, this gave the team a set of 16 pools to study.
Figure 4. Location of sampling sites and zones on Isle Royale and nearby islands. In each site map, the splash zone pools are shown as blue dots and lichen zone pools as orange dots, with each of the 16 study pools circled in yellow (©2024 The Society for Freshwater Science; used with permission).
Figure 5. Pools in bedrock depressions along the Isle Royale shoreline. The picture on the left shows the lichen and splash zones, while the picture on the right shows the transition from lake shoreline to forest edge (©2024 The Society for Freshwater Science; used with permission).
The team visited each pool six times during the study. At each visit, they measured the pool’s length, width, depth, and temperature, and took a sample of its water. They also took samples of the chironomid exoskeletons floating on the water surface. When chironomid pupae swim to the surface and emerge from the water to start their final life stage as flying insects, they shed their skins. The abandoned skins can easily be sampled and identified, allowing researchers to assess the diversity and richness of the chironomid assemblage in any given place.
What They Found
Isle Royale’s coastal rock pools were even more complex than Alex and his team had anticipated—and they were surprised by some of what’s driving that complexity.
Water Chemistry
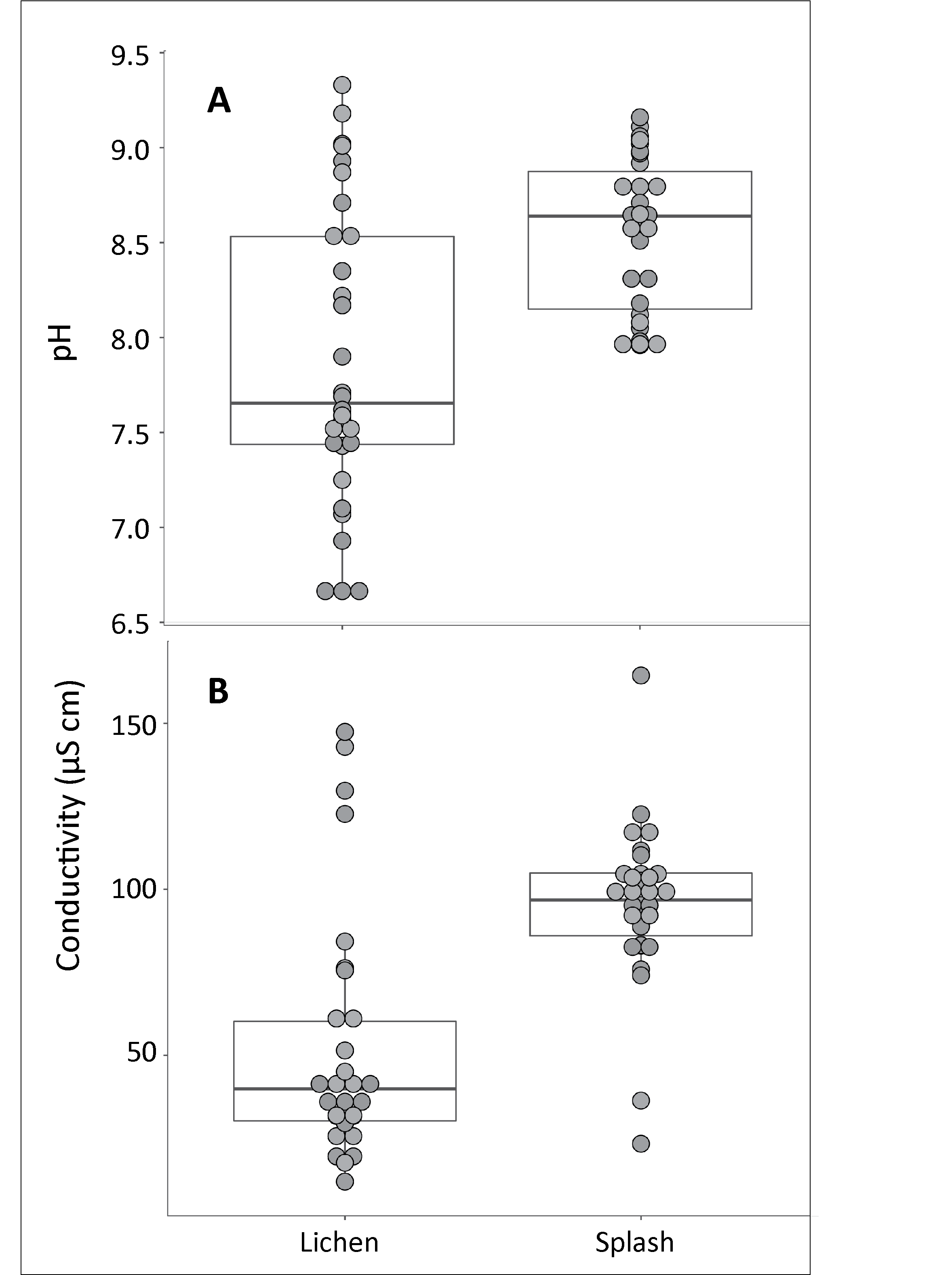
When the team analyzed their samples, they found that lichen pools and splash pools had different water chemistries. Nutrient concentrations were higher in lichen pools, while conductivity and pH were higher in splash pools (Figure 6). These differences reflected the different water sources in the two zones. While all pools received nutrient-rich runoff from the surrounding terrestrial landscape, the splash pools also received nutrient-poor water from Lake Superior when waves crashed onshore. The waves essentially washed the nutrient-rich runoff away.
Figure 6. The pH (A) and specific conductivity (B) of coastal rock pools in the lichen and splash zones. Each symbol represents one sample (©2024 The Society for Freshwater Science; used with permission).
Terrestrial inputs were also important for another set of water quality parameters. On average, trace metal concentrations were higher in lichen pools than splash pools. Usually, metals enter the environment from anthropogenic (human) sources like mining or industry. But on Isle Royale, there aren't any nearby anthropogenic sources of trace metals. So Alex and his team concluded that like nutrients, metals were being carried into lichen pools from the surrounding landscape. The volcanic bedrock on Isle Royale contains high levels of some metals—in fact, Indigenous peoples mined copper on the island in prehistoric times. As the bedrock weathers (or wears down over time), it releases metals that are carried downslope in runoff, ending up in lichen pools.
Trace metals are important for all living organisms. Small amounts of iron, copper, and other metals are required for many biological functions that maintain life. But if they're present at very high levels, metals can be toxic. In some lichen pools, the concentrations of two metals—aluminum and copper—were high enough to harm sensitive aquatic invertebrate species (Figure 7). This suggests that bedrock weathering may cause metal concentrations in some pools to reach levels that can change the chironomid assemblage living there—a result that surprised Alex and his team.
Figure 7. Concentrations of aluminum (A) and copper (B) in coastal rock pools. Results for individual pools are clustered in groups of three representing samples taken in May, July, and October 2010. For both metals, the open circles indicate elevated concentrations that can harm sensitive aquatic macroinvertebrates (©2024 The Society for Freshwater Science; used with permission).
Chironomid Assemblages
When the team looked at their samples of chironomid exoskeletons (Figure 8), they found individuals from at least 102 different species. Of the 29 species that were abundant enough to be included in this study, eight were only found in lichen pools, 12 only in splash pools, and the other nine were found in both. The team had expected to find different species in the lichen and splash zones because chironomid assemblages change in response to environmental conditions, like the different nutrient levels they’d observed in the two types of pools. What the team didn't expect was to find some chironomid species in the pools that aren’t usually present in lentic (still water) systems.
Figure 8. Abandoned exoskeletons (the white cylindrical casings) left on the water’s surface as chironomids emerged to begin their final life stage as flying insects (NPS / Alex Egan).
During one sampling trip, one of Alex's colleagues had noticed unusual caddisfly larvae in a splash pool very close to Lake Superior. The larvae were from a species that's usually found in lotic (flowing water) systems. Later, in the lab, the team found samples of chironomid exoskeletons that were also usually found in lotic systems. While the presence of these species in the splash pools was surprising, it made sense once the team thought about it; the splash pools are constantly washed with cold, low-nutrient water from Lake Superior waves. This mimics the conditions in a headwater stream or small river with rapidly flowing water. Alex reflected on this finding: “Species don't always respond in ways humans think they should, so stepping back and reconsidering the system can be really important.”
A Better Understanding of a Unique Ribbon of Rock
Alex and his team had expected to find different chironomid assemblages in pools with different water chemistries. What they hadn’t expected to find was the strong influence of wave action from Lake Superior on the chironomid assemblages in splash pools, and the apparent influence of bedrock weathering on chironomid assemblages in some lichen pools. Both are useful results that challenge how NPS researchers and managers think about how species respond to their environments.
The team could have easily missed the importance of bedrock weathering because trace metals aren't always included in water chemistry analyses. But without data on metal concentrations, the team wouldn't have realized how bedrock weathering could impact chironomid diversity and richness in some pools. Including trace metals therefore gave the team a much fuller understanding of the coastal rock pool system, the complex community dynamics at play in individual pools, and the way these small patches of habitat may respond to changes in their environment.
Figure 9. Freighter near Passage Island (NPS).
While Isle Royale National Park is remote, it’s still vulnerable to anthropogenic impacts. Its ecosystems are affected by ongoing climate change, and a nearby international shipping lane (Figure 9) makes the island vulnerable to marine incidents like oil spills. In fact, the park’s highest densities of coastal rock pools and sensitive species lie beside the shipping lane. The results of this study, and others like it, will help the park's managers plan for the impacts of climate change and any marine incidents that occur so they can protect this surprisingly diverse and complex mosaic of ecosystems into the future.
“Overall, I see this as a very healthy mosaic of pool habitats that probably has a lot of capacity for resilience, and I hope the park can find ways to continue studies in this unique ribbon of rock between the lake and forest edge.”
—Dr. Alex Egan
Information in this article was summarized from Alexander Egan, David R.L. Burge, Mark B. Edlund, Toben Lafrancois, and Leonard C. Ferrington Jr. 2024. Distribution of water chemistry, trace metals, and Chironomidae in coastal freshwater rock pools. Freshwater Science 43(2):124–139. DOI: 10.1086/730526.