Article

Amphibian Monitoring in the Apostle Islands, 2014-2019

A toad sits on a maroon-colored shelf fungus attached to paper birch log lying on the ground. Lighter brown fungi grow in a cluster next to the toad.
Eastern American Toad on Hermit Island.

Gary Casper

Eight species of frogs and toad are found in the Apostle Islands:

  • Cope’s Gray Treefrog (Hyla chrysoscelis),
  • Eastern American Toad (Anaxyrus americanus americanus),
  • Gray Treefrog (Hyla versicolor),
  • Green Frog (Lithobates clamitans),
  • Mink Frog (Lithobates septentrionalis),
  • Northern Leopard Frog (Lithobates pipiens),
  • Spring Peeper (Pseudacris crucifer), and
  • Wood Frog (Lithobates sylvaticus).

Two others: the Boreal Chorus Frog (Pseudacris maculata) and American Bullfrog (Lithobates catesbeianus) are known to occur outside park boundaries but they appear to be absent within the park.

Toads and frogs are unique among amphibians in that they produce calls that are unique and identifiable. This makes it possible to monitor their populations using remote recorders, or “frog loggers.” Monitoring is important for many reasons, the top one being that declines of amphibian populations are one of the most prominent conservation issues in the world. Most amphibians need both land and water during their lifetimes, so they are sensitive to environmental changes including temperature, precipitation, and humidity, making them indicators of climate and habitat change.

A green box attached to a board and with a narrow "roof" over the top is strapped to the trunk of a tree. A small device in a clear plastic case is attached to the underside of the roof.
An automated recorder, or “frog logger.” Microphones come out of the top left and right of the box. A temperature logger is attached beneath the “roof” of the backing board.

NPS

Frog Loggers

Ten permanent amphibian monitoring sites were established in the Apostle Islands in 2014. In April, an audio recorder at each site begins collecting 5-minute samples once an hour between 5:00 p.m. and 3:00 a.m. each day. Four extra samples are collected on the half-hour mark in the evenings between 7:30 and 10:30 p.m. A temperature sensor records temperature once an hour.

Recording frog and toad calls allows us to determine occupancy and abundance. Occupancy is a measure of whether or not a site is occupied by a species. Abundance is tracked by assessing how the maximum call intensity changes on sites across years, and by how many times we hear that species across years. In 2018, we also began tracking phenology, or the trends in annual first-calling dates for each species over time. For now, we are only tracking phenology for three species common to all parks in the network: Eastern American Toads, Green Frogs, and treefrogs. The Gray Treefrog and Cope’s Gray Treefrog have very similar calls that are difficult to distinguish, even with recordings, so for phenology purposes, we combine data for both species.

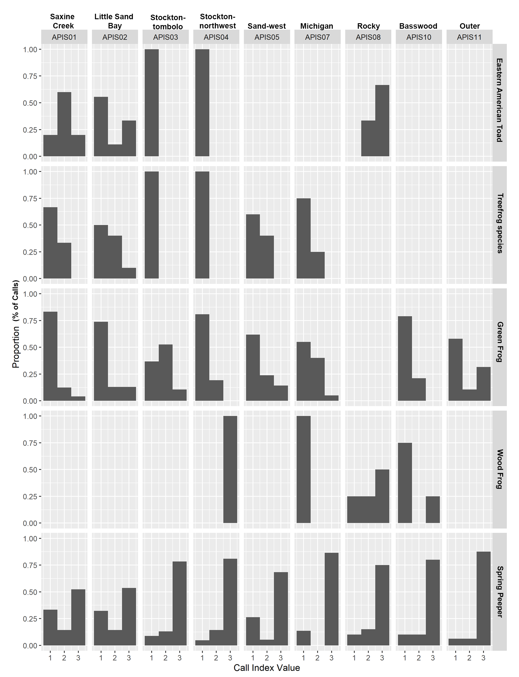
A sub-sample of the recordings are used to assign a Call Index Value (CIV) to each species. CIV is the maximum call intensity, ranging from CIV=1 (non-overlapping calls indicating few singing males) to CIV= 3 (calls too numerous to count individuals). CIVs can be analyzed over time to determine if a species is increasing or decreasing in abundance.

The Latest (as of 2019)

Six of the Apostle Islands’s eight species of frogs and toads were recorded, with Green Frog and Spring Peeper occurring at every recording site. Mink Frogs were only heard at Stockton and Michigan Island lagoons in 2019, though they are known to be on Long Island and at the Sand River estuary. No Cope’s Gray Treefrogs were heard, nor were any Northern Leopard Frogs detected in 2019, though the leopard frog is known to be on Long Island, and there are unconfirmed reports from Bear, Devils, Stockton, and York Islands. American Bullfrog, Boreal Chorus Frog, and Pickerel Frog were not detected, but none of these three are known to occur at APIS despite several unconfirmed reports.

Phenology

Frogs begin calling earlier at more southerly parks and later at the northern parks, with APIS start-dates falling in the middle of this range. Eastern American Toads were the first to begin calling, with their trills heard on 15 May at the two mainland sites. Green Frogs were next, starting in the last week of May at Stockton, Sand-west, and Basswood Islands. The first treefrogs joined the chorus in the second week of June at the mainland sites, Presque Isle lagoon, and Sand Island-west.

Call Index Values

Several sites and species never exceeded a CIV of 1 in 2019, indicating that few males were present and calling (e.g., Eastern American Toad and Gray Treefrog at both Stockton Island sites). Conversely, Green Frog on Outer Island and Spring Peeper at most sites reached a maximum CIV of 3, indicating large populations at those locations.

Panel of 45 gray-scale bar graphs, one for each frog and toad species detected at each site.n across the top, species names down the right side. The bottom axis shows Call Index Values ranging from 1 to 3.
Call Index Values (CIV) for each species at each site, Apostle Islands National Lakeshore, 2019. CIVs range from 1 (individuals of the species can be counted, there is silence between calls) to 3 (full chorus for the species, calls are constant, continuous, and overlapping).

What's Next?

The automated recorders continue to turn on each spring and capture the sounds of frogs and toads coming out of their winter slumber and looking for mates. Data collected since 2019 are being analyzed and we will publish regular updates on the status of Apostle Islands amphibians.

Apostle Islands National Lakeshore

Last updated: February 16, 2024